Hi, I'm Jesse

(move me)

Research

Check out Timaeus's research for more work from my team.

Influence Dynamics and Stagewise Data Attribution

Influence Dynamics and Stagewise Data Attribution

2025-10-14
Jin Hwa Lee=, Matthew Smith=, Maxwell Adam=, Jesse Hoogland

Current training data attribution (TDA) methods treat the influence one sample has on another as static, but neural networks learn in distinct stages that exhibit changing patterns of influence. In this work, we introduce a framework for stagewise data attribution grounded in singular learning theory. We predict that influence can change non-monotonically, including sign flips and sharp peaks at developmental transitions. We first validate these predictions analytically and empirically in a toy model, showing that dynamic shifts in influence directly map to the model's progressive learning of a semantic hierarchy. Finally, we demonstrate these phenomena at scale in language models, where token-level influence changes align with known developmental stages.

Compressibility Measures Complexity: Minimum Description Length Meets Singular Learning Theory

Compressibility Measures Complexity: Minimum Description Length Meets Singular Learning Theory

2025-10-14
Einar Urdshals=, Edmund Lau, Jesse Hoogland, Stan van Wingerden, Daniel Murfet

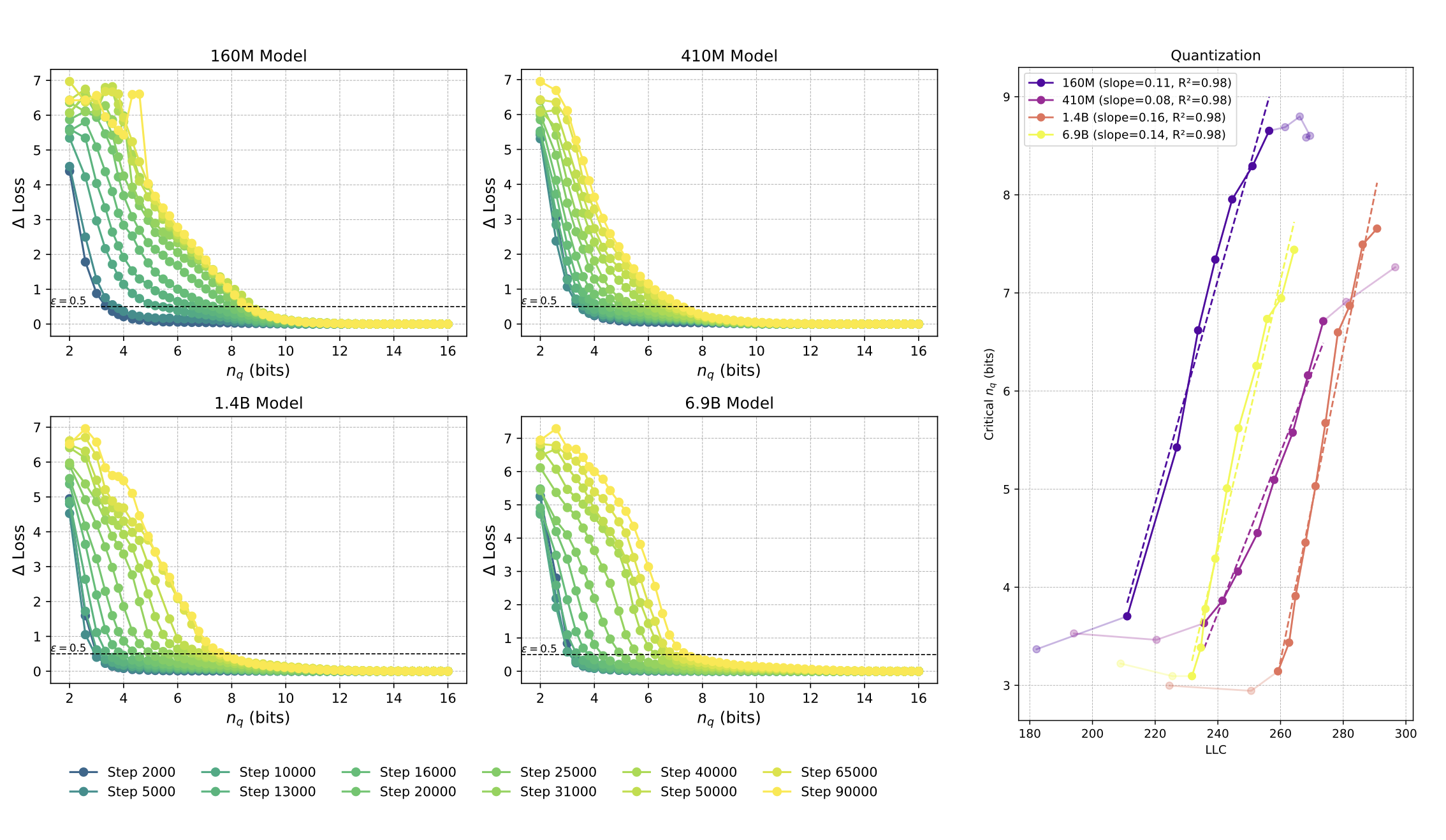
We study neural network compressibility by using singular learning theory to extend the minimum description length (MDL) principle to singular models like neural networks. Through extensive experiments on the Pythia suite with quantization, factorization, and other compression techniques, we find that complexity estimates based on the local learning coefficient (LLC) are closely, and in some cases, linearly correlated with compressibility. Our results provide a path toward rigorously evaluating the limits of model compression.

The Loss Kernel: A Geometric Probe for Deep Learning Interpretability

The Loss Kernel: A Geometric Probe for Deep Learning Interpretability

2025-10-01
Maxwell Adam=, Zach Furman, Jesse Hoogland

We introduce the loss kernel, an interpretability method for measuring similarity between data points according to a trained neural network. The kernel is the covariance matrix of per-sample losses computed under a distribution of low-loss-preserving parameter perturbations. We first validate our method on a synthetic multitask problem, showing it separates inputs by task as predicted by theory. We then apply this kernel to Inception-v1 to visualize the structure of ImageNet, and we show that the kernel's structure aligns with the WordNet semantic hierarchy. This establishes the loss kernel as a practical tool for interpretability and data attribution.

Talks

Check out the SLT & AI Safety channel for more related videos.

Singular Learning Theory & AI Safety

2025-06-26

Singular learning theory (SLT) identifies the geometry of the loss landscape as key to understanding neural networks. In this talk, I will explore applications of this framework and perspective for interpretability, alignment, and other areas of AI safety.

Embryology of AI

Embryology of AI

2025-06-19

Jesse Hoogland and Daniel Murfet, founders of Timaeus, introduce their mathematically rigorous approach to AI safety through 'developmental interpretability' based on Singular Learning Theory.

Jesse Hoogland on Singular Learning Theory

Jesse Hoogland on Singular Learning Theory

2024-12-01

You may have heard of singular learning theory, and its 'local learning coefficient', or LLC - but have you heard of the refined LLC? In this episode, I chat with Jesse Hoogland about his work on SLT, and using the refined LLC to find a new circuit in language models.

Other Writing

Check out my LessWrong profile for a more up-to-date list of writings.

SLT for AI Safety

SLT for AI Safety

2025-07-01

The Sweet Lesson: AI Safety Should Scale With Compute

2025-05-05
Timaeus in 2024

Timaeus in 2024

2025-02-20
Jesse Hoogland, Stan van Wingerden, Alexander Gietelink Oldenziel, Daniel Murfet